EEN STELLING OVER REKENKUNDIGE REEKSEN
VAN HOOGERE ORDE,

door

Dr. P.J.H. Baudet




Aanvullende gegevens:
Artikel in: Christiaan Huygens I (1921-22), pp. 146-149
Formules als plaatjes weergegeven, zodat opmaak behouden is gebleven.
Dit stuk verscheen kort na het overlijden van dhr. Baudet; zijn collega prof. Fred Schuh had vlak voor dit artikel een "In Memoriam" geplaatst. De naam van Baudet boven het artikel was voorzien van een kruisje.



Laten P en Q twee slechts naar één kant voortgezette rekenkundige reeksen van willekeurige orden > 0 zijn. Verondersteld wordt, dat men bij elken term van Q een term van P kan aanwijzen, die aan dezen gelijk is. De orde p van P is dan deelbaar op de orde q van Q en de opeenvolgende termen van Q zijn dan de termen van P, wier rangnummers een zekere rekenkundige van de orde q : p vormen, indien men, zoo noodig, de reeks P naar links met een eindig aantal termen voortzet.
Dit voortzetten naar links kan noodig zijn, als de reeks P een term bevat, die gelijk is aan een term der voortzetting van P naar links en aan een term van Q. Het kan wel gebeuren, dat niet de positieve aanwijzer, maar wel de aanwijzer < 0 in de rekenkundige reeks van de orde q : p past.
Voor het bewijs kunnen we de termen der reeksen reëel onderstellen. Door beschouwing der reeksen van de reëele deelen der termen of van de coëfficiënten van i is het nl. achteraf gemakkelijk in te zien, dat de stelling ook voor reeksen met complexe termen doorgaat.
Zij de reeks P gegeven door
P(x) = xp + a1xp-1 + a2xp-2 + . . . . . + ap,
waaruit de termen der reeks ontstaan door aan x de opeenvolgende natuurlijke getalwaarden toe te kennen. Zonder beperking mogen wij den coëfficiënt van xp gelijk aan 1 nemen; was deze toch a0 [ongelijk] 1, dan konden wij elken term van P en Q door a0 deelen en de stelling voor de verkregen reeks bewijzen. Zij voorts de reeks Q gegeven door
Q(y) = b0yq + b1yq-1 + b2yq-2 + . . . . . + bq.
[pag. 147] De gemaakte onderstelling wordt nu daardoor uitgedrukt, dat de vergelijking

P(x) = Q(y) (1)

voor elke natuurlijke waarde van y een wortel x bezit, die een natuurlijk getal is.
Nu is P(x) voor voldoend groote waarden van x een monotoon stijgende functie van x, zoodat men een getal M bepalen kan, zoodanig, dat voor N > M de vergelijking
P(x) = N
juist één positieven wortel bezit. Q(y) neemt voor de natuurlijke y-waarden oneindig veel verschillende waarden aan en moet dus (krachtens het onderstelde) willekeurig groote positieve waarden kunnen aannemen; men heeft dus b0 > 0, zoodat er een positief getal Y bestaat zoodanig, dat voor y > Y geldt:
Q(y) > M.
Voor elke y > Y heeft dan (1), als vergelijking in x beschouwd, één positieven wortel, die krachtens de gemaakte veronderstelling geheel is.
Uit (1) berekenen we dezen wortel door uit de beide leden den pden machtswortel te trekken:
waaruit door reeksontwikkeling volgt:
Hierin is A(x) een functie van x, die voor voldoend groote waarden van x naar boven absoluut begrensd is. Voor k wordt genomen het grootste aantal geheelen, dat in q/p zit, dus k = [q/p]. De cj (j = 0, 1, 2, . . . ., k) zijn constanten, die gemakkelijk te berekenen zijn; zoo heeft men:
C(y) is een functie van y, die wederom voor voldoend groote waarden van y naar boven absoluut begrensd is.
[pag. 148] Uit (2) vinden wij:
Men kan nu y zoo groot kiezen, dat de laatste twee termen van het rechterlid absoluut genomen willekeurig klein worden, krachtens boven gemaakte opmerkingen.
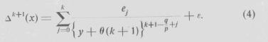
Wij beschouwen thans de (k + 1)ste differentie van de x-waarden, die men verkrijgt door aan y achtereenvolgende natuurlijke waarden te geven. De differentie van het rechterlid van (3) vindt men door de differentie van elken term afzonderlijk te bepalen en deze differenties te sommeeren. De eerste term geeft een differentie nul, de laatste twee termen een differentie, die absoluut genomen voor voldoend groote waarden van y willekeurig klein wordt en die we door [epsilon] voortstellen. Voor de differentie der overige termen passen we de middelwaardestelling toe, die, daar y telkens met 1 toeneemt, luidt:
Door
te stellen, vinden wij dus:
Door y voldoende groot te nemen, kan men elk der termen onder het -teeken absoluut willekeurig klein krijgen, dus ook het geheele rechterlid van (4). Men heeft dus voor elke y, die een zeker getal overtreft:
|/\k+1(x)| < 1. (5)
Nu zijn de getallen x alle geheel, dus ook /\k+1(x), zoodat uit (5) volgt:
/\k+1(x) = 0 (6)
d.w.z. van zeker rangnummer af vormen de rangnummers in P der termen van Q een rekenkundige reeks, waarvan de orde hoogstens k is.
[pag. 149] Beschouwen wij nu k+1 van deze y-waarden, dan bestaat er juist een polynoom in y, dat voor deze y-waarden de bijbehoorende x-waarden aanneemt en waarvan de graad hoogstens k is. Zij R(y) dit polynoom.
Nu zal van de y-waarden, die bij (6) ter sprake kwamen, elke bijbehoorende x geleverd worden door
x = R(y) (7)
daar een rekenkundige reeks, waarvan de orde hoogstens k is, door k+1 termen volkomen bepaald is.
Beschouwen wij thans de polynomen Q(y) en P{R(y)}. Het eerste heeft een graad q, het tweede een graad, die hoogstens pk, dus hoogstens q is. Nu zijn er tenminste q+1 waarden van y aan te wijzen (immers, er zijn er oneindig veel), waarvoor deze polynomen dezelfde waarde aannemen. Hieruit volgt, dat die polynomen identiek zijn.
Is nu g de graad van R(y), dus pg de graad van P{R(y)}, dan is dus:
pg = q.
Het in (7) voorkomende polynoom R(y) is dus van den graad q:p, waarmede het gestelde bewezen. Daar R(y) voor een eindig aantal natuurlijke waarden van y negatief of nul worden kan, moet eventueel de reeks P met een eindig aantal termen naar links worden voortgezet.